2020年7月17日,《通讯•材料》刊发了关于电迁移效应抑制金属玻璃剪切带形成的最新研究成果“Expanding the homogeneous regime of deformation in bulk metallic glass by electromigration-induced rejuvenation”。上述论文由魔性论坛
国家脉冲强磁场科学中心(简称强磁场中心)、魔性论坛
,暨南大学和中科院物理所共同完成。魔性论坛
为第一完成单位,强磁场中心谌祺副教授和暨南大学张猛副教授为论文共同第一作者;魔性论坛
柳林教授,强磁场中心韩小涛教授,以及中科院物理所汪卫华院士为论文共同通讯作者。
研究背景
和内部原子呈周期性排列的传统金属材料不同,金属玻璃内部原子呈无序密堆特征,是一类具有“长程无序、短程有序”原子结构的新型金属材料。因此,金属玻璃内部不存在常见的晶界和位错等结构缺陷,而这些缺陷的运动是传统金属材料发生塑性变形的核心机制。尽管金属玻璃内部原子之间也是金属键结合,但却无法像传统金属一样具有优良的室温延展性和塑性变形能力。在室温下,金属玻璃塑性变形的主要特征是形变局域化,其变形通常集中在厚度为10-50 nm的剪切带内部并伴随剪切软化发生。尤其是在拉伸条件下,剪切带形成之后,会迅速扩展并诱导宏观脆性断裂,使得金属玻璃几乎没有均匀拉伸塑性。因此,如何理解金属玻璃以剪切局域化为核心的室温塑性变形机制,一直是金属材料领域的基本科学问题。
研究过程
团队通过在Zr55Cu30Al10Ni5 (Zr55)金属玻璃拉伸变形过程中巧妙的引入脉冲电流,成功抑制了Zr55金属玻璃的剪切形变局域化,使其在远低于其玻璃转变温度的条件下发生了均匀变形并表现出缩颈现象。通过与常规加热条件下的拉伸实验对比发现,在电流激励拉伸变形过程中,电流的电迁移效应,即:沿电流反方向的电子运动导致的原子扩散,致使金属玻璃发生动态回春(Dynamic Rejuvenation),扩大了金属玻璃的基本变形单元-剪切转变区,从而促使金属玻璃发生均匀拉伸变形;而电流产生的焦耳热,并非金属玻璃发生均匀变形的关键因素。根据金属玻璃在“应变速率-温度”空间上的变形图谱(Deformation Map)进行定量分析发现,电迁移效应相当于约0.15Tg(Tg为玻璃转变温度)的等效温升。这一结果表明,电迁移效应抑制了金属玻璃剪切带的形成,显著的扩展了金属玻璃发生均匀形变的温度范围。
图文导读
图1 金属玻璃脉冲电流拉伸实验

(a) 拉伸实验示意图;(b) 拉伸实验实物图;(c) 拉伸试验局部放大,引伸计,热电偶、拉伸试样;(d) 拉伸试样尺寸;(e) 脉冲电流波形;(f) 实际产生的脉冲电流。
图2 脉冲电流拉伸实验结果

(a) Zr55Cu30Al10Ni5 (Zr55)金属玻璃在不同电流密度脉冲电流作用下的拉伸应力-应变曲线;(b) 变形后样品形貌;(c)金属玻璃颈缩区域形貌;(d) 颈缩区域高分辨电镜照片。
图3 电流的焦耳效应分析

(a) Zr55Cu30Al10Ni5 (Zr55)金属玻璃样品在拉伸实验中的温度变化;(b)常规加热条件下Zr55金属玻璃的拉伸实验;(c) 常规拉伸实验后样品形貌。
图4 电致塑性

(a) Zr55Cu30Al10Ni5 (Zr55)金属玻璃在不同脉宽脉冲电流作用下的拉伸应力-应变曲线,脉宽/周期=1:40;(b)不同脉宽条件下拉伸实验中样品温度变化;(c)载荷与位移的同步变化;(d) 位移与温度的同步变化,表明位移增加并不是由焦耳热引起的温升导致。
图 5 电迁移致动态回春机理

(a) 金属玻璃结构示意图;(b) 剪切转变区示意图(Shear Transformation Zone, STZ):疏松区域为STZ,密堆区域为弹性基体;(c) 电迁移效应示意图;(d) 电迁移驱动金属玻璃发生动态回春。电迁移效应在受到几何约束的原子(Geometrically Frustrated Atoms)上比在自由扩散原子(Free Diffusing Atoms)上更显著,因此优先驱动STZ弹性基体内部的原子扩散,诱导金属玻璃发生动态回春,扩大了STZ区域,促使金属玻璃发生均匀变形,从而抑制了其剪切带形核。
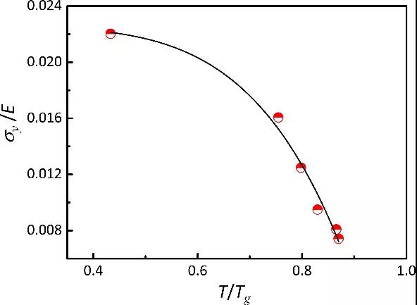
图 6 电迁移致回春效应的引起的金属玻璃软化现象

电流作用下金属玻璃强度随温度变化的关系满足:σy ~ (T/Tg)^n, n~5.2。E 为杨氏模量;Tg 是玻璃转变温度。图6表明,电流作用下的软化效应较金属玻璃强度随温度变化的n = 2/3幂律关系更显著,印证了电流作用下金属玻璃的动态回春效应,即:原子运动能力增加。
上述结果表明,电迁移效应通过优先驱动金属玻璃内部原子密堆区域的原子扩散运动,促使金属玻璃发生动态回春,从而导致金属玻璃在塑性变形过程中发生均匀变形。本研究成果不仅有助于更好地理解金属玻璃的塑性变形机理和金属材料“电塑性效应”的本质,还为通常只能进行传统“热塑性”成形加工的金属玻璃提供了新的成形手段,有望有效地推动金属玻璃的工业应用。
全文链接:
//doi.org/10.1038/s43246-020-0046-x
该项成果的实验工作主要基于国家脉冲强磁科学中心电磁成形工作站及材料成形与模具技术国家重点实验室非晶态材料研究室开展,相关研究得到了国家自然科学基金、魔性论坛
自主创新基金、以及材料成形与模具技术国家重点实验室开放基金的支持。
文章来源:材料人